








महापालिका निवडणुकीत विजयी झालेल्या सर्व उमेदवारीची यादी पुढील प्रमाणे आहे.
प्रभाग १ कळस धानोरी लोहगाव
अश्विनी भंडारे (भाजप)
रेखा टिंगरे (राष्ट्रवादी काँग्रेस)
संगीता दांगट (भाजप)
अनिल टिंगरे (भाजप)
प्रभाग २ फुलेनगर नागपूर चाळ
नंदिनी धेंडे (राष्ट्रवादी)
रवी टिंगरे (राष्ट्रवादी)
शीतल सावंत (राष्ट्रवादी)
सुहास टिंगरे (राष्ट्रवादी)
प्रभाग ३ विमाननगर लोहगाव
डॉ. श्रेयस खांदवे (भाजप)
अनिल सातव (भाजप)
ऐश्वर्या पठारे (भाजप)
रामदास दाभाडे (भाजप)
प्रभाग ४ खराडी वाघोली
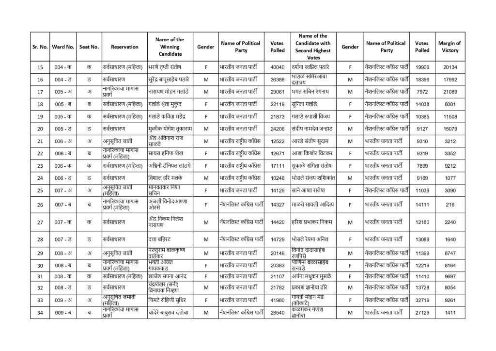
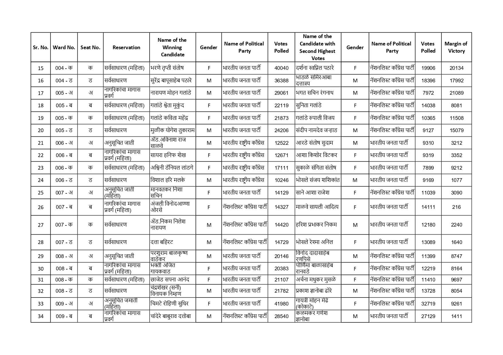
बनसोडे शैलजीत जयवंत (भाजपा)
भरणे तृप्ती संतोष (भाजपा)
सुरेंद्र बापूसाहेब पठारे (भाजपा)
रत्नमाला संदिप सातव (भाजपा)
प्रभाग ५ वडगाव शेरी कल्याणीनगर
नारायण मोहन गलांडे (भाजपा)
गलांडे कविता महेंद्र (भाजपा)
मुळीक योगेश तुकाराम (भाजपा)
गलांडे श्वेता मुकुंद (भाजपा)
प्रभाग ६ येरवडा गांधीनगर
अ अॅड.अविनाश राज साळवे (काँग्रेस)
क अश्विनी डॅनियल लांडगे (काँग्रेस)
ड विशाल हरि मलके (काँग्रेस)
ब सायरा हनिफ शेख (काँग्रेस)
प्रभाग ७ गोखलेनगर वाकडेवाडी
निशा मानवतकर (भाजप)
अंजली ओरसे (राष्ट्रवादी)
दत्ता बहिरट (राष्ट्रवादी)
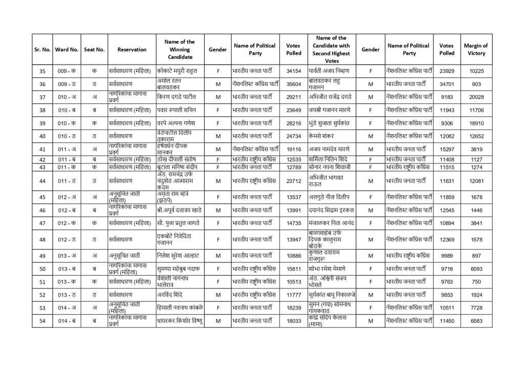
निलेश निकम (राष्ट्रवादी)
प्रभाग ८ औंध बोपोडी
परशुराम वाडेकर (भाजप)
भक्ती गायकवाड (भाजप)
सपना छाजेड (भाजप)
चंद्रशेखर निम्हण (भाजप)
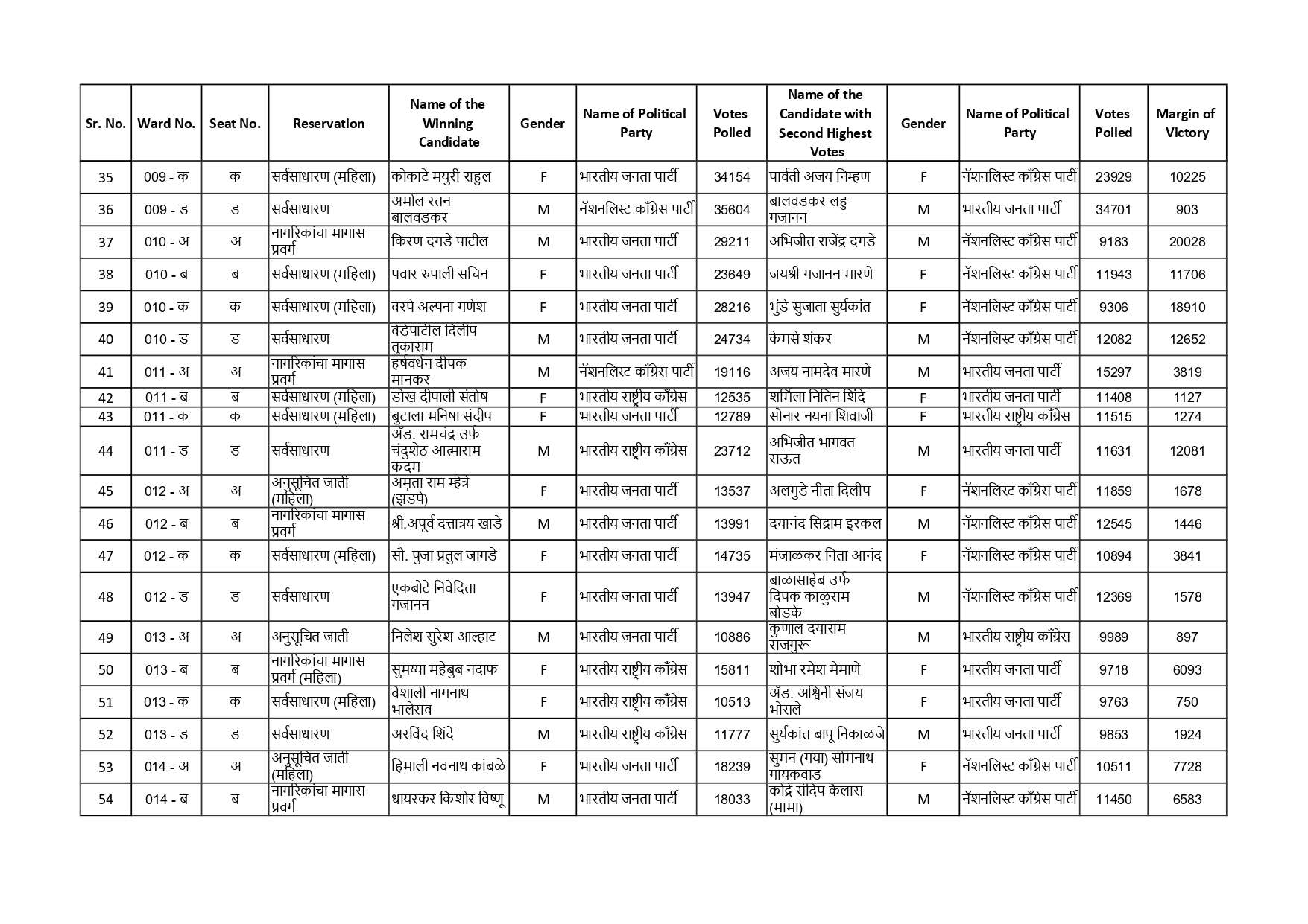
प्रभाग ९ सूस बाणेर पाषाण
रोहिणी चिमटे (भाजप)
बाबुराव चांदेरे (राष्ट्रवादी)
मयुरी कोकाटे (भाजप)
अमोल बालवडकर (राष्ट्रवादी)
प्रभाग १० बावधन भुसारी कॉलनी
रूपाली पवार (भाजप)
दिलीप वेडेपाटील (भाजप)
किरण दगडे (भाजप)
अल्पना वरपे (भाजप)
प्रभाग ११ रामबाग कॉलनी शिवतीर्थनगर
हर्षवर्धन मानकर (राष्ट्रवादी)
दिपाली डोक (काँग्रेस)
मनिषा बुटाला (भाजप)
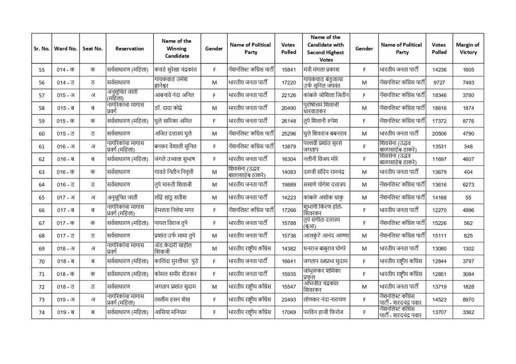
चंदू कदम (काँग्रेस)
प्रभाग १२ शिवाजीनगर मॉडेल कॉलनी
अमृता म्हेत्रे (भाजप)
अपूर्व खाडे (भाजप)
पूजा जागडे (भाजप)
निवेदिता एकबोटे (भाजप)
प्रभाग १३ पुणे स्टेशन जय जवाननगर
अरविंद शिंदे (काँग्रेस)
निलेश आल्हाट (भाजप आर पी आय)
सुमैया मेहबूब नदाफ (काँग्रेस)
वैशाली भालेराव (काँग्रेस)
प्रभाग १४ कोरेगाव पार्क मुंढवा घोरपडी
अ हिमाली नवनाथ कांबळे (भाजपा)
क कवडे सुरेखा चंद्रकांत (राष्ट्रवादी काँग्रेस)
ड गायकवाड उमेश ज्ञानेश्वर भाजपा 17220 37969
ब धायरकर किशोर विष्णू भाजपा 18033 37970
प्रभाग १५ मांजरी केशव नगर,साडेसतरानळी
नंदा अबनवे (भाजप)
दादा कोद्रे (भाजप)
सारिका घुले (भाजप)
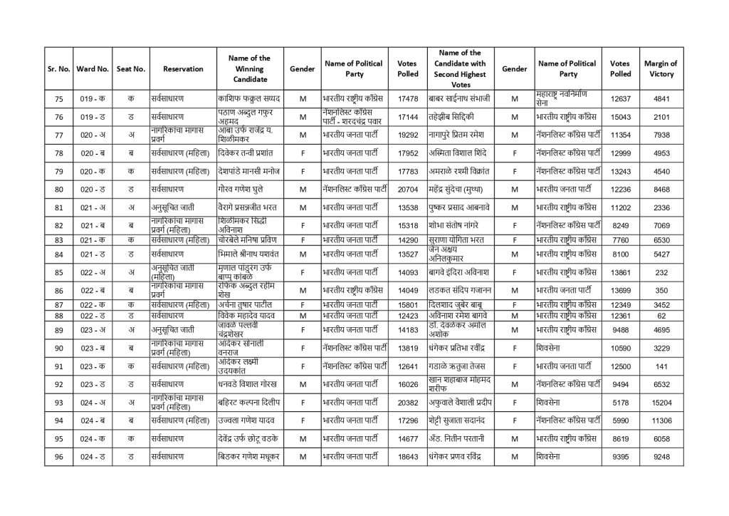
अजित घुले (राष्ट्रवादी)
प्रभाग १६ हडपसर सातववाडी
वैशाली बनकर (राष्ट्रवादी)
सुभाष जंगले (भाजप)
निवृत्ती गावडे (शिवसेना उद्धव बाळासाहेब ठाकरे)
शिवाजी तुपे (भाजप)
प्रभाग १७ रामटेकडी
अ लोंढे खंडू सतीश (भाजपा)
क पायल विराज तुपे ( भाजपा)
ड प्रशांत उर्फ मामा तुपे (भाजपा)
ब हेमलता निलेश मगर (राष्ट्रवादी काँग्रेस)
प्रभाग १८ वानवडी साळुंखे विहार
साहिल केदारी (काँग्रेस)
कालिंदी पुंडे (भाजप)
कोमल शेंडकर (भाजप)
प्रशांत जगताप (काँग्रेस)
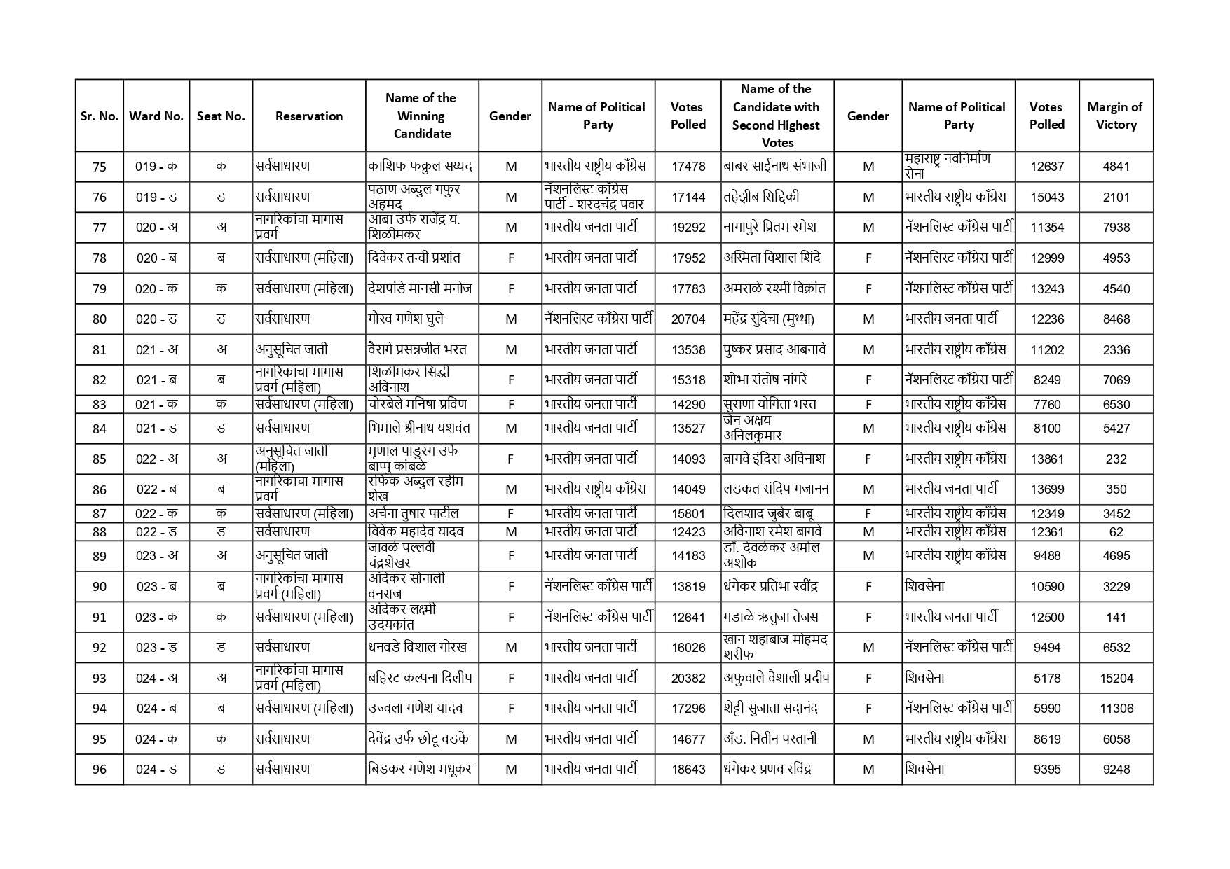
प्रभाग १९ कोंढवा कौसर बाग
तस्लिम शेख (काँग्रेस)
आसीया मणियार (काँग्रेस)
काशिफ सय्यद (काँग्रेस)
गफूर पठाण (राष्ट्रवादी काँग्रेस)
प्रभाग २० शंकर महाराज मठ बिबवेवाडी
तन्वी दिवेकर (भाजप)
मानसी देशपांडे (भाजप)
राजेंद्र शिळीमकर (भाजप)
गौरव घुले (राष्ट्रवादी)
प्रभाग २१ मुकुंद नगर सेलिसबारी पार्क
प्रसन्न वैरागे (भाजप)
सिद्धी शिळीमकर (भाजप)
मनिषा चोरबोले (भाजप
श्रीनाथ भिमाले (भाजप)
प्रभाग २२ कासेवाडी डायस प्लॉट
अर्चना पाटील (भाजप)
मृणाल कांबळे (भाजप)
विवेक यादव (भाजप)
रफिक शेख (काँग्रेस)
प्रभाग २३ रविवार पेठ नाना पेठ
पल्लवी जावळे (भाजप)
सोनाली आंदेकर (भाजप)
लक्ष्मी आंदेकर (भाजप)
विशाल धनवडे (भाजप)
प्रभाग २४ कसबा पेठ कमला नेहरू हॉस्पिटल
कल्पना बहिरट (भाजप)
उज्वला यादव (भाजप)
देवेंद्र वडके (भाजप)
गणेश बिडकर (भाजप)
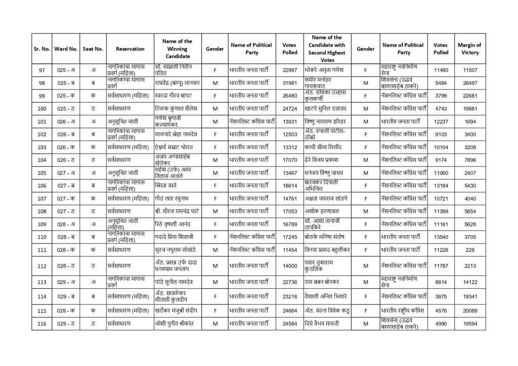
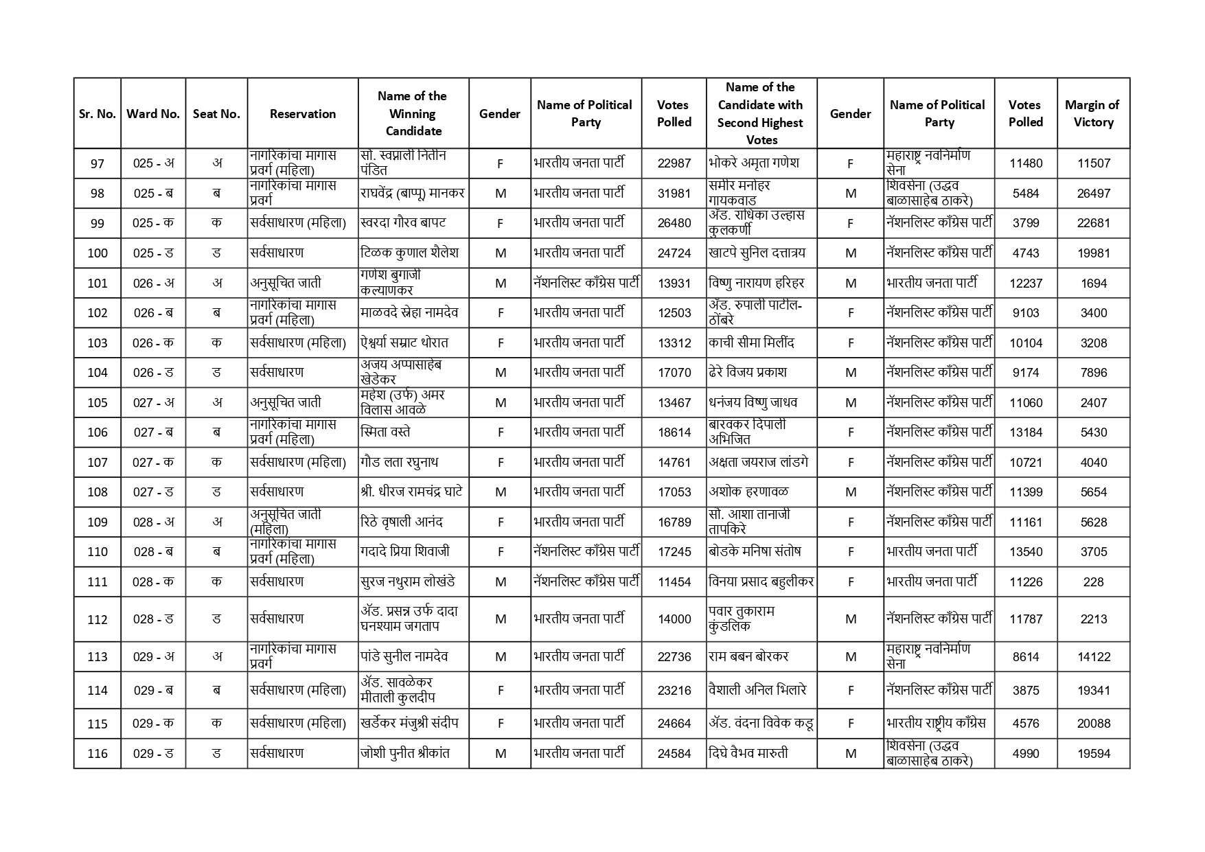
प्रभाग २५ शनिवार पेठ महात्मा फुले मंडई
कुणाल टिळक (भाजप)
स्वरदा बापट (भाजप)
स्वप्नाली पंडित (भाजप)
राघवेंद्र मानकर (भाजप)
प्रभाग २६ घोरपडी पेठ गुरुवार पेठ समताभूमी
प्रभाग २७
अमर आवळे (भाजप)
स्मिता वस्ते (भाजप)
लता गौड (भाजप)
धीरज घाटे (भाजप)
प्रभाग २८ जनता वसाहत पर्वती हिंगणी खुर्द
वृषाली रिठे (भाजप)
प्रसन्न जगताप (भाजप)
सूरज लोखंडे (राष्ट्रवादी)
प्रिया गदादे (राष्ट्रवादी)
प्रभाग २९ डेक्कन जिमखाना हॅपी कॉलनी
सुनील पांडे (भाजप)
पुनीत जोशी (भाजप)
मिताली सावळेकर (भाजप)
मंजुश्री खर्डेकर (भाजप)
प्रभाग ३० कर्वेनगर हिंगणे होम कॉलनी
राजेश बराटे (भाजप)
रेश्मा बराटे (भाजप)
तेजश्री पवळे (भाजप)
स्वप्निल दुधाने (राष्ट्रवादी)
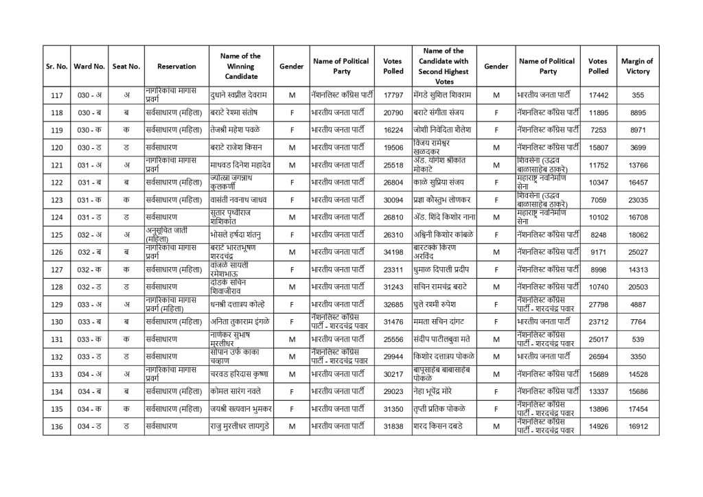
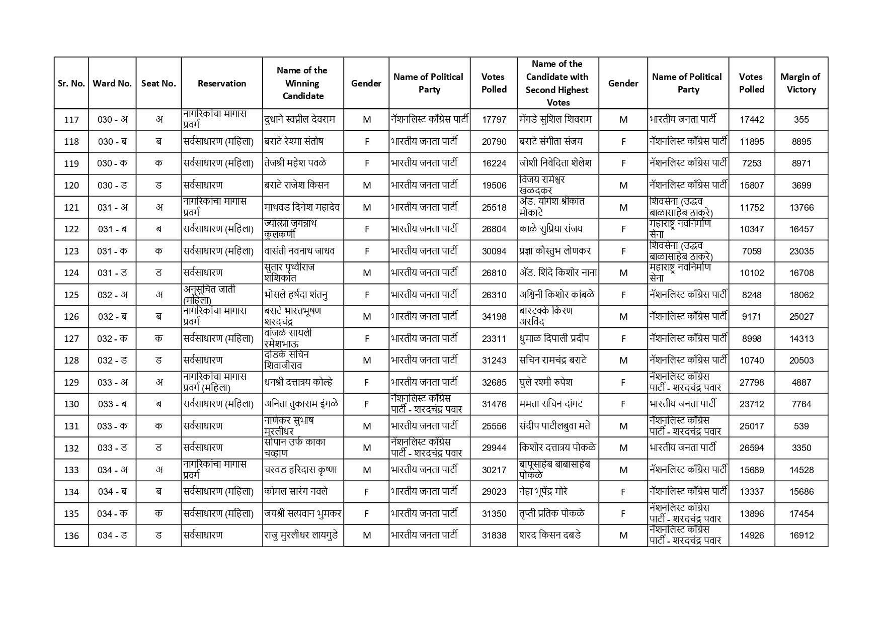
प्रभाग ३१ मयूर कॉलनी कोथरूड गावठाण
अ माथवड दिनेश महादेव (भाजपा)
क वासंती नवनाथ जाधव (भाजपा)
ड सुतार पृथ्वीराज शशिकांत (भाजपा)
ब ज्योत्स्ना जगन्नाथ कुलकर्णी (भाजपा)
प्रभाग ३२ वारजे पॉप्युलर नगर
प्रभाग ३३ शिवणे खडकवासला
धनश्री कोल्हे (भाजप)
अनिता इंगळे (राष्ट्रवादी)
सुभाष नाणेकर (भाजप)
सोपानकाका चव्हाण (राष्ट्रवादी)
प्रभाग ३४ नऱ्हे धायरी वडगाव
हरिदास चरवड (भाजप)
कोमल नवले (भाजप)
जयश्री भूमकर (भाजप)
राजाभाऊ लायगुडे (भाजप)
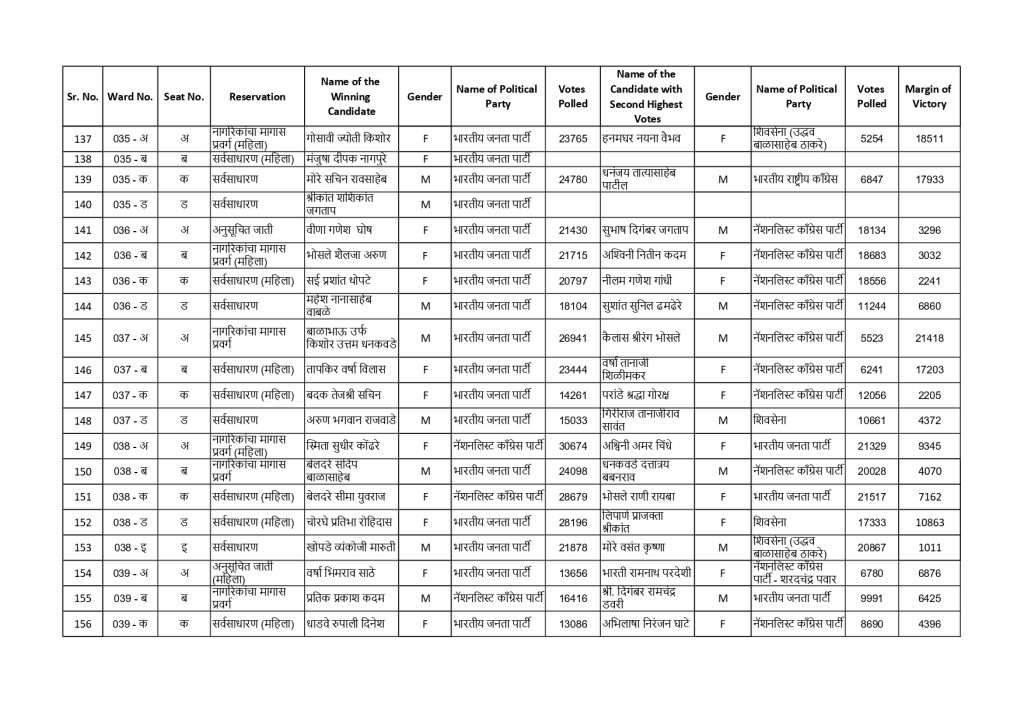
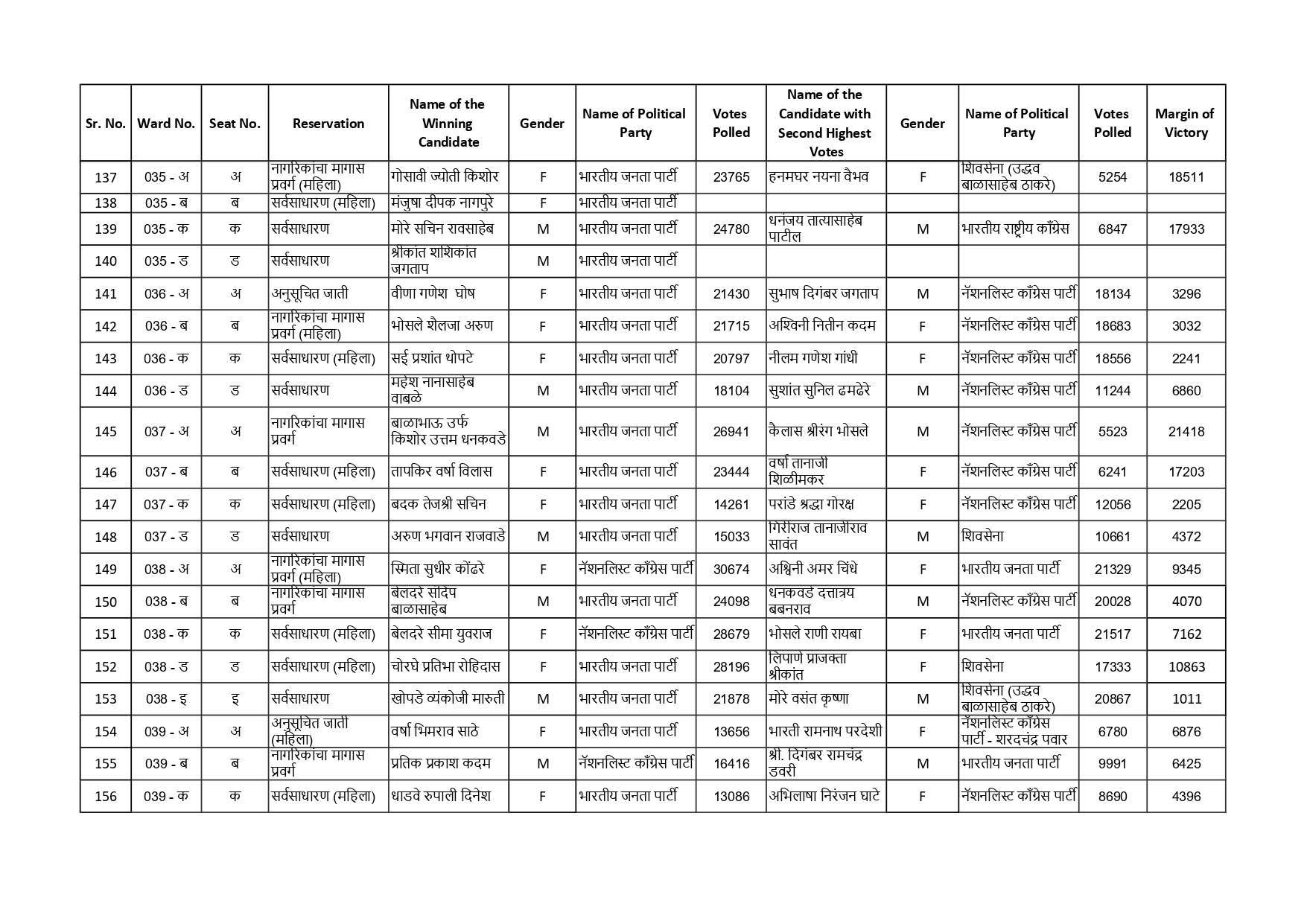
प्रभाग ३५ सन सिटी माणिक बाग
मंजुषा नागपुरे (भाजप, बिनविरोध)
श्रीकांत जगताप (भाजप, बिनविरोध)
सचिन मोरे (भाजप)
ज्योती गोसावी (भाजप)
प्रभाग ३६ सहकारनगर पद्मावती
महेश वाबळे (भाजप)
सई थोपटे (भाजप)
शैलजा भोसले (भाजप)
वीणा घोष (भाजप)
प्रभाग ३७ धनकवडी कात्रज
बाळा धनकवडे (भाजप)
वर्षा तापकीर (भाजप)
तेजश्री बदक (भाजप)
अरुण राजवाडे (भाजप)
प्रभाग ३८ बालाजीनगर आंबेगाव कात्रज
संदीप बेलदरे (भाजप)
व्यंकोजी खोपडे (भाजप)
प्रतिभा चोरघे (भाजप)
सिमा बेलदरे (राष्ट्रवादी)
स्मिता कोंढरे (राष्ट्रवादी)
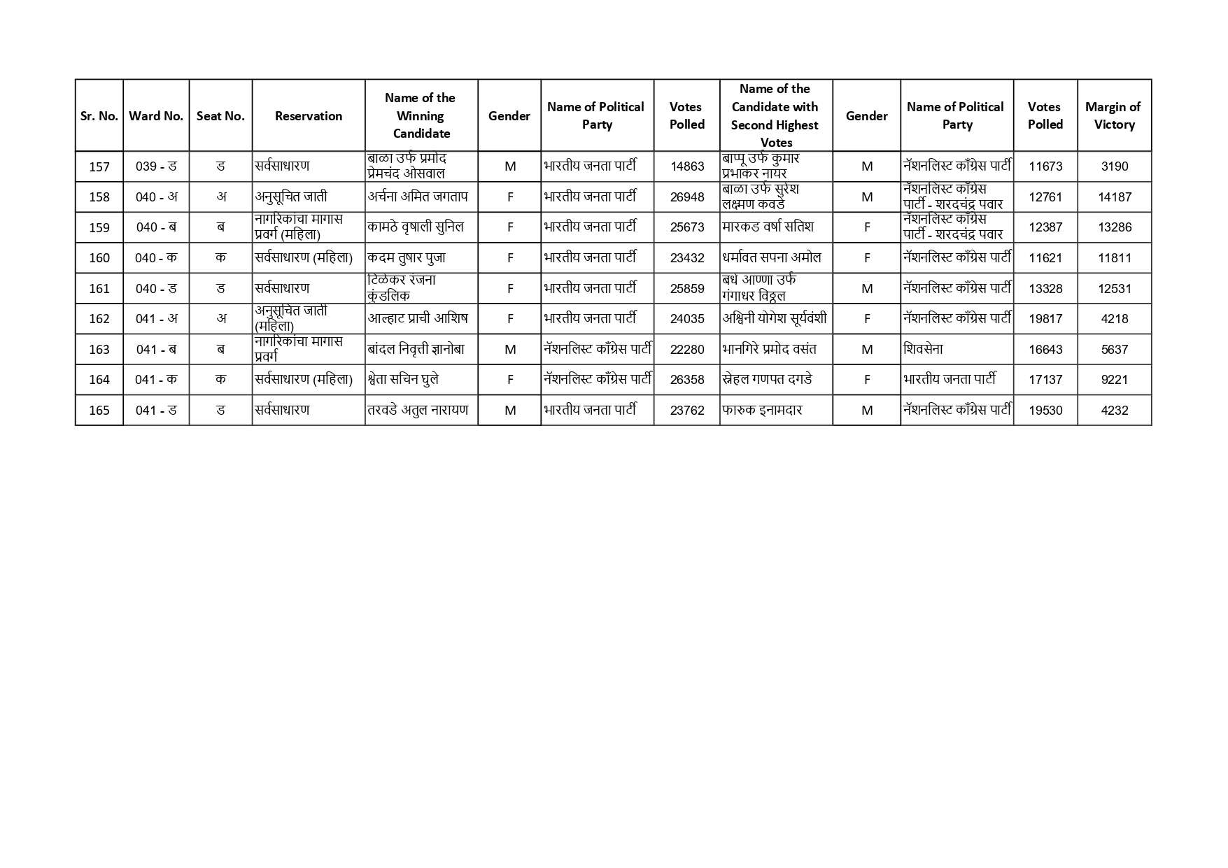
प्रभाग ३९ अप्पर सुपर इंदिरानगर
वर्षा साठे (भाजप)
रुपाली धाडवे (भाजप)
प्रतिक कदम (राष्ट्रवादी)
बाळा ओसवाल (भाजप)
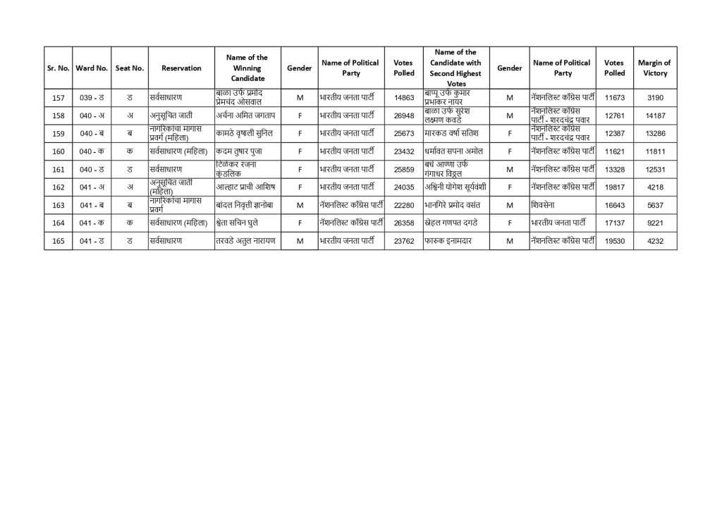
प्रभाग ४० कोंढवा येवलेवाडी
अर्चना जगताप (भाजप)
रंजना टिळेकर (भाजप)
पूजा कदम (भाजप)
वृषाली कामठे (भाजप)
प्रभाग ४१ मोहम्मद वाडी उंड्री
प्राची आल्हाट /BJP
निवृत्ती बांदल /NCP
श्वेता घुले /NCP
अतुल तरवडे /भाजप

