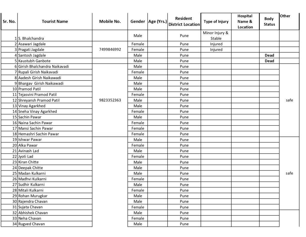
पुणे- सकाळी २६४ लोकांची यादी समोर आली होती ज्यात पुण्यातील प्रय्त्क जे काश्मिरात अडकलेत त्यांची नावे होती . पण आता संध्याकाळी मात्र तब्बल ५२० पर्यटकांची नावे आली आहेत . हे ५२० पुणेकर काश्मिरात सुट्टी एन्जोय करायला गेले होते . आणि पहलगाम च्या आतंकी हल्ल्यामुळे परत निघालेत पण त्यांची येण्याची व्यवस्था होऊ न शकल्याने त्यांनी सह्स्नाकडे संपर्क साधला आहे .. पहा हि यादी















